The latest global trends indicate that the world is rapidly shifting towards electric vehicles (EVs). Therefore, major automobile companies are planning to shift a large amount of production to electric vehicles.
Volvo plans to sell only electric vehicles by 2030, Lotus by 2028, and General Motors by 2035. In addition, countries like Japan plan to completely switch to electric vehicles by 2025.
One of the most critical components of electric vehicles is the traction inverter. It directly affects the driving experience, battery range, and overall safety of the vehicle. The purpose of traction inverters is to convert DC power from electric vehicle batteries into AC motors for driving the vehicle's propulsion system. There is increasing research on silicon carbide based power semiconductors to improve inverter efficiency, switching frequency, maximum allowable junction temperature, and system power density. For hybrid vehicles, a highly integrated inverter cooled by an internal combustion engine cooling circuit is a good solution, which makes additional low-temperature power electronic cooling circuits unnecessary.
This article is based on the IEEE research paper "Characterization and Scalable Modeling of Power Semiconductors and Optimization Design of Traction Inverters for Si and SiC Devices". In this article, our goal is to study the characteristics, compare methods to calculate power losses in thermal models, and understand the required power consumption and chip area for different Si and SiC devices, and set parameters through simulated NEDC vehicles.
Some parameters for comparative analysis of Si and SiC devices are:
1. Power loss
2. Equipment modeling constraints
3. Minimum chip area for higher frequencies
I. Simulation of Si and SiC Devices in the Design of Hybrid Electric Vehicles
Firstly, we will explore a system simulation of a hybrid electric vehicle traction inverter and the final output of Si and SiC devices.
This simulation uses an automotive power module with a packaging rate of TJ (Max)=175 ° C, with a typical internal combustion engine coolant temperature of TF=105 ° C. The loss of a motor determines factors such as current, voltage, and power factor. Using an efficiency optimized speed torque lookup table as a quick method to determine the operating conditions of inverters. Without changing its electromagnetic design, the minimum phase current of each DC link voltage was considered to operate the machine. A fluid cooled pin fin substrate suitable for power module cooling was proposed for hybrid electric vehicles and electric vehicles. In addition, a 19 mm2 KW thermal transition resistor was also used.
The state space representation of a thermal domain transient model with nonlinear domain loss model as feedback was simulated using MATLAB/Simulink software.
Added a vehicle physical model with gear shifting to generate task configuration files for HEV traction inverters based on standardized driving cycles. The simulation for vehicle selection is a 2500 kg HEV-SUV with an integrated permanent magnet synchronous motor (PMSM) (32 pole, 500 Nm, 60 kW). The simulated operating conditions are:
1. Constant battery voltage:
a. 350V voltage of 650V IGBT
b. 700V voltage of 1200V IGBT
c. 700V to 1200V D-mode SiC JFETs
2. 10 kHz switching frequency
A brief overview of the simulation model structure is shown below.

Figure 1 Simulation Model for Testing Si and SiC Semiconductor Traction Inverters
The efficiency of the new European Drive Cycle (NEDC) driven by inverters and motors reduces the losses of SiC inverters, especially at partial loads.

Figure 2 Inverter Output to Efficiency Diagram for Different Power Electronics Technologies
The reliability and lifespan of power semiconductors were tested through time-domain simulation and transient modeling, while considering the possible redesign of the system's load distribution and chip area. The application of RANFlow algorithm in the time-domain response of thermal chips is the most advanced method for calculating the thermal cycle of packaging during operation to estimate its lifespan.
This calculation indicates that there is no significant difference between Si and SiC inverters optimized for chip area. The simulation model also generates power loss, calculated from the energy consumption of semiconductor devices. The power loss of Si and SiC devices is:

Figure 3 Simulation outputs of various power electronic devices
Through NEDC simulation driving experiments, compared with silicon devices, using silicon carbide devices can reduce the energy loss of traction inverters by 70% and chip area by 66%.
II. Comparative Analysis of Si and SiC Devices
In addition to NEDC simulation, we also aim to study the characteristics and comparative analysis of different Si and SiC semiconductor devices:
1. Device characterization
A laboratory device for studying switch characteristics was established using an external temperature controller. The gate driver is designed to provide a configurable voltage of ± 25V with a maximum peak current of 1A. The switching curve range for SiC-D-J-1200, SiC-E-J-1200, and SiC-EOS-1200 devices is:

Figure 4 Time relationship between half bridge switching of SiC-D-J-1200 and voltage, current, and junction temperature

Figure 5 Time relationship between half bridge switching of SiC-E-J-1200 and voltage, current, and junction temperature

Figure 6 Time relationship between half bridge switching of SiC-E-MOS-1200 and voltage, current, and junction temperature
The closing speed of each half bridge is relatively fast, and there is no significant difference in slope.
The reverse recovery peak of SiC-D-J-1200 at high current and temperature becomes significant during the conduction period of SiC bulk diodes. The result is that due to the steep current slope, the device introduces a moderate ringing into the commutation circuit, which reaches the speed of turning off the slope. SiC-E-J1200 shows almost no reverse recovery behavior due to the SiC JB S diode. The characteristic of a flat voltage slope is that it is on. This can lead to significant switching losses. The SiC-E-MOS-1200 half bridge shows the fastest conduction accompanied by the highest reverse recovery peak, leading to significant rectification loop ringing.
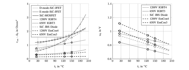
2. Thermal characteristics
The following figure shows the thermal characteristics of the differential area normalized conduction resistance of the device. D-mode SiC-JFET, SiC-MOSFET, and Si IGBT exhibit flat thermal characteristics. At the same time, the E-type SiC-JFET shows a sharp increase in resistance above 150 ° C. Compared with unipolar SiC-JBS diodes, the differential conduction resistance of silicon diodes is almost reduced by an order of magnitude, within the range of SiC-FET.
The voltage offset of SiC-JBS diode decreases with increasing temperature, which is the same as all voltage offsets of silicon devices. Therefore, the voltage offset value of SiC-JBS diode is below 1200-V, which is higher than the temperature range of 650-V silicon devices.

Figure 7 Resistance vs. Temperature and Voltage vs. Temperature of Different Devices
The gate driving current varies with the chip area, and the parasitic inductance of the commutation circuit varies inversely. Therefore, comparing Si and SiC half bridges with the same chip area indicates that the switching loss of Si half bridges is 5-10 times that of Si half bridges.
3. Heat loss and semiconductor chip area

Figure 8 Power loss of different devices and chip areas
The above figure shows the heat generated and dissipated by different chip regions under set critical operating conditions at a 400 V DC link voltage, 173 A peak phase current, 175 ° C maximum junction temperature, and 10 kHz switching frequency. The results of the above experiments conclude that the minimum allowable chip area of semiconductor devices is given by the intersection of the generated power and the dissipated power on the chip area curve.
The minimum chip area was numerically calculated. In addition, the minimum cumulative chip area of the traction inverter for 60 kW hybrid electric vehicle electric transmission system components was calculated at different switching frequencies and battery voltages.

Figure 9: Relationship between chip area and DC link voltage under different switching frequencies and battery voltage
In order to eliminate additional switching losses, the higher the switching frequency of the Si inverter, the smaller the chip area. On the contrary, for SiC inverters, only a slight increase in chip area is required. In terms of comparison between devices of the same technology, when the switching frequency is greater than 5 kHz, Si-E-I-0650 technology performs better than Si-E-I-1200 technology. In addition, SiC-D-J-1200 and SiC-E-MOS-1200 exhibit similar performance due to the use of bulk diodes, surpassing SiC-E-J-1200
3、 Conclusion
The simulation driving results of the NEDC experiment proposed in this article indicate that the energy loss of the SiC device traction inverter on Si power semiconductor is 70%, and the chip area is reduced by 66%. Through this paper, we also present the loss characteristics of SiC semiconductors and their relationship with DC link voltage, current, and junction temperature.
Tel
